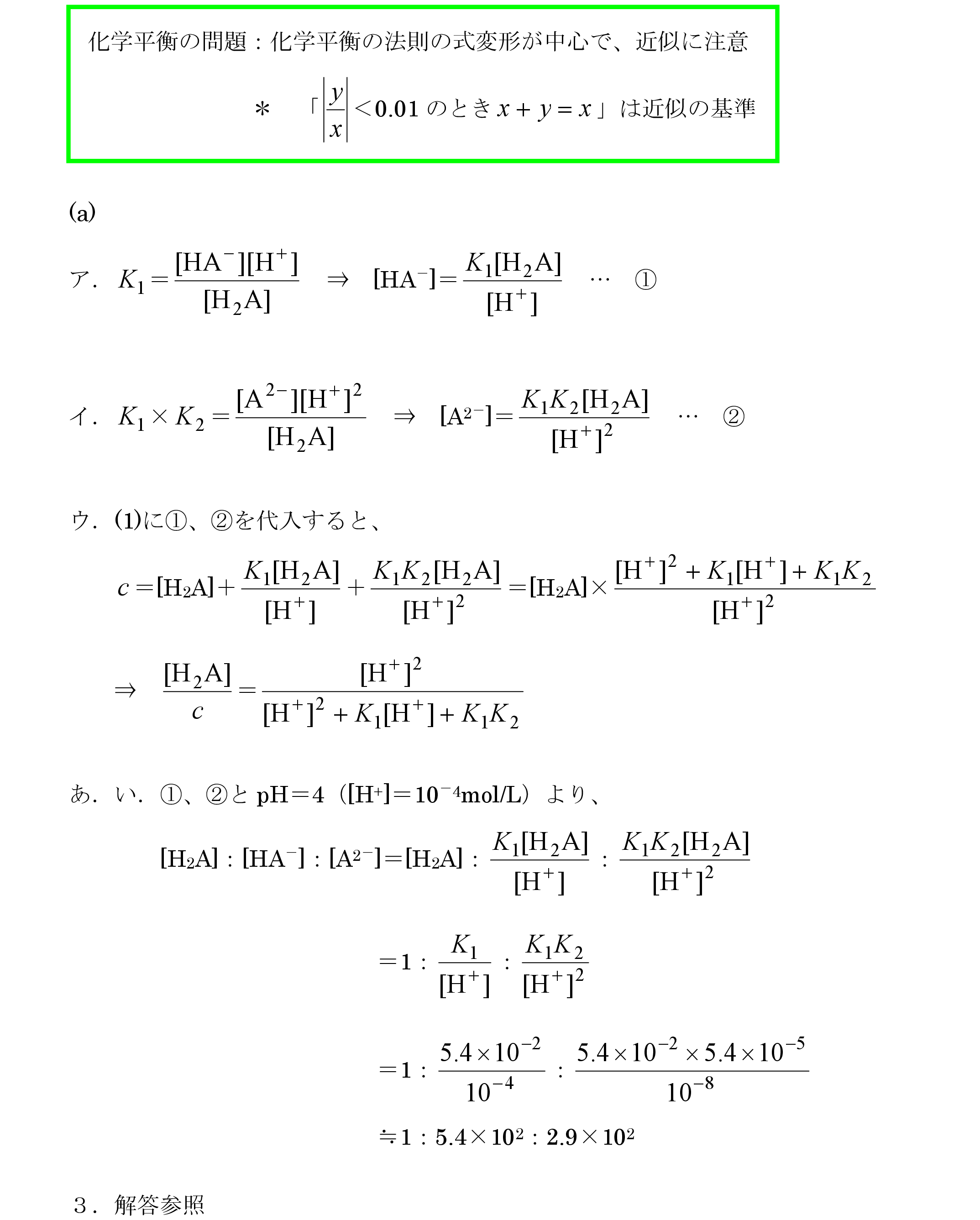
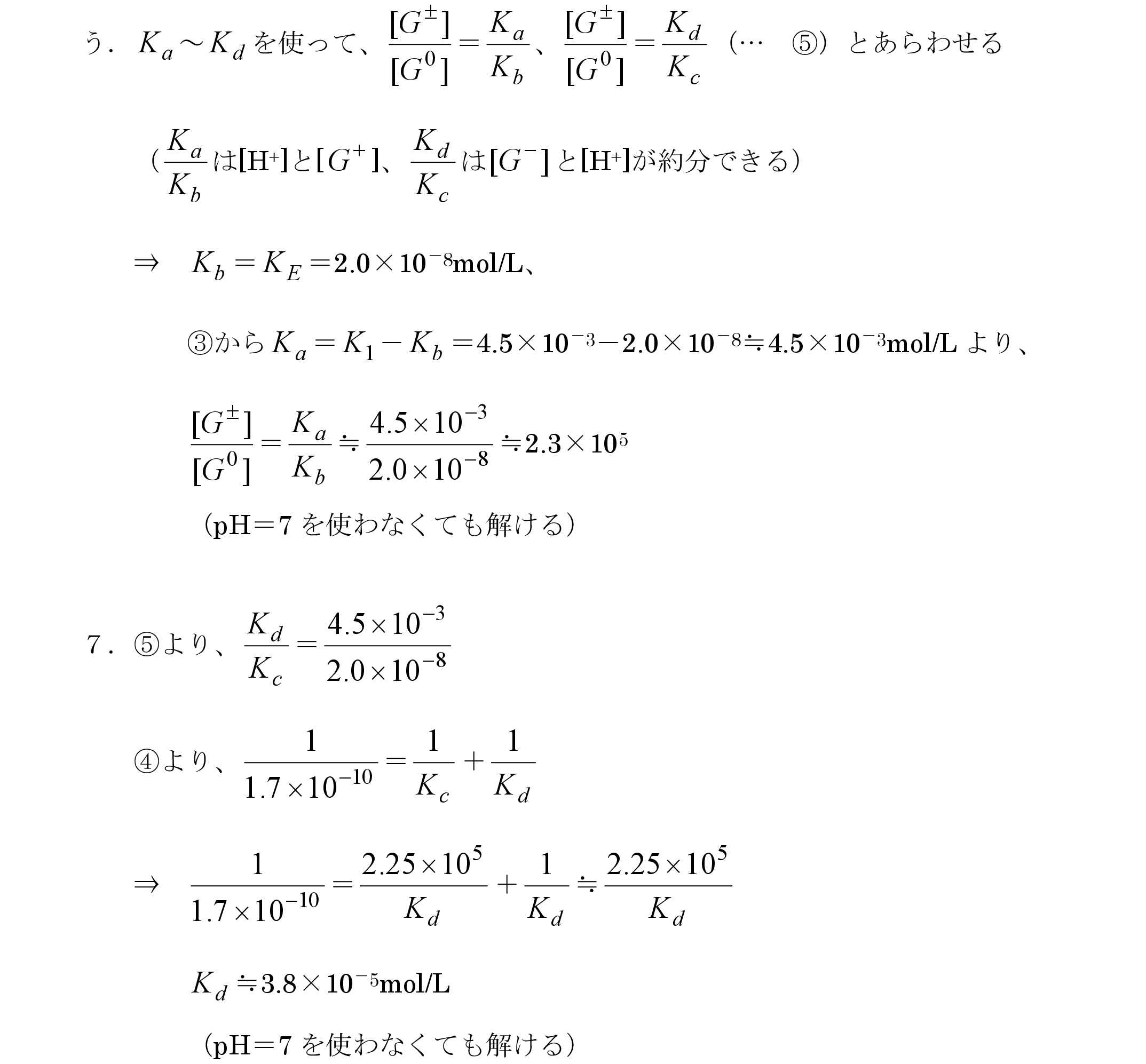
京大演習20
前へ
次へ