阪大演習11
前へ
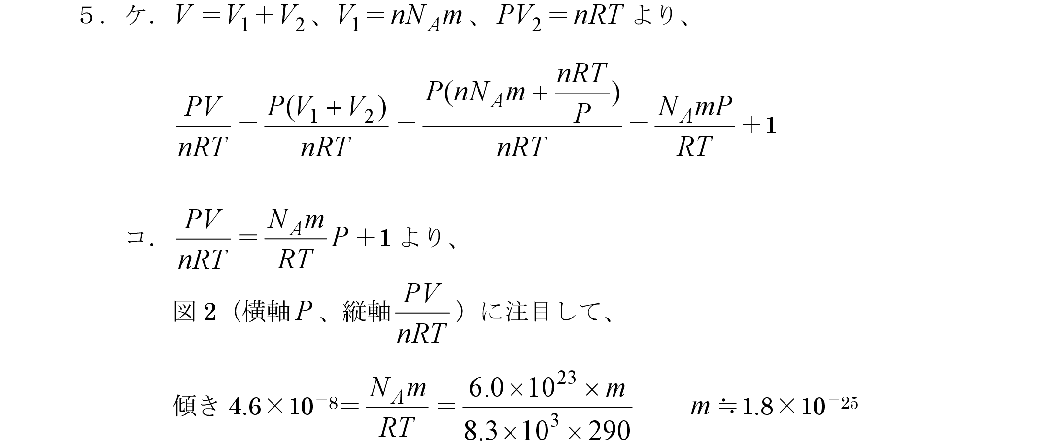
分子間力
次へ